나의 논문 3편 PDF FILES (제목 : 리만가설 증명)

아마추어로서 리만가설 증명이란 제목으로 써본 PAPER 의 원본 PDF FILE 들이다.
내 일생 60년중 12년을 할애하여 써본 전문수학자의 눈에는 궤변일 뿐인 글들이다.
P.S. : 나의 수학적 관심에 불을 질렀던 1859 년에 리만이 쓴 논문 영문 번역본과 리만의
육필원본을 첨부한다.
하나 밝혀 둘것은 번역본 5 page의 첫번째, 두번째... 적분 공식의 적분변수는 ds 아닌
dx 가 맞다. 번역자의 명백한 오류이다.
1859 RIEMANN (ENGLISH TRANSLATION).pdf
( 1859 년에 리만이 쓴 정수론 관련 유일한 논문으로 리만가설이 언급 되어있다.
앞뒤면에 쓴 6쪽짜리 달랑 3장의 논문이지만 인류유산이라 할만한 논문이다.
7개의 수학문제에 각기 백만불의 상금을 걸어놓은 보스톤 소재 CMI website
에서 download 함)
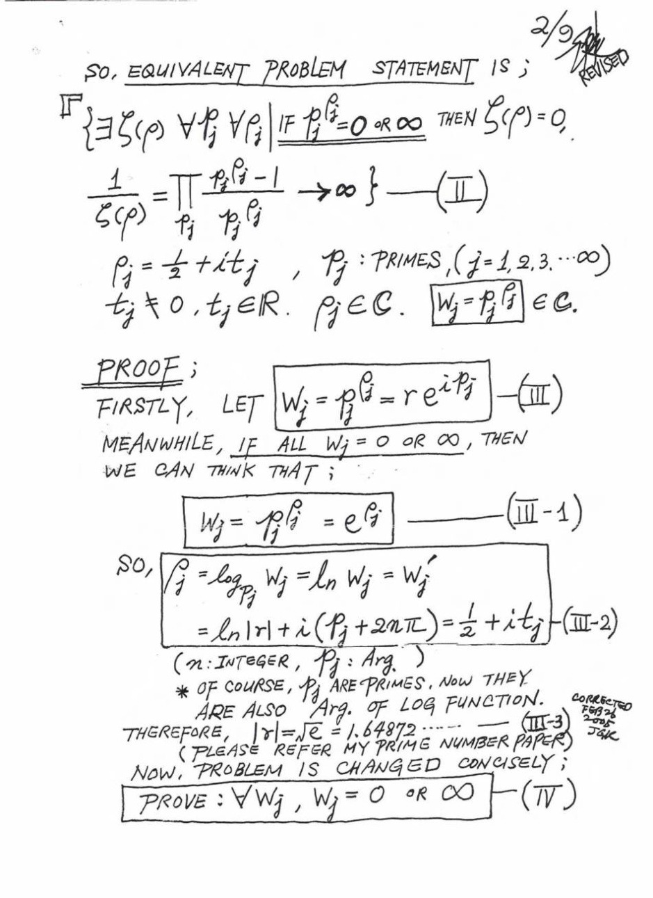
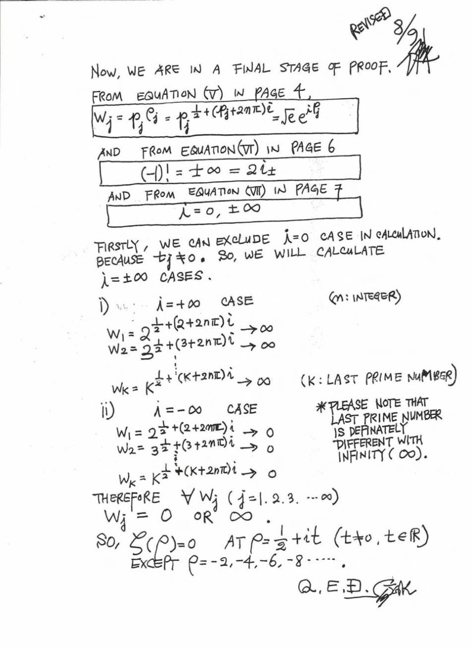
아래는 공부하던 초창기 나의 육필 원고들... 지금보니 참 웃음밖에 안난다. ㅋㅋ.































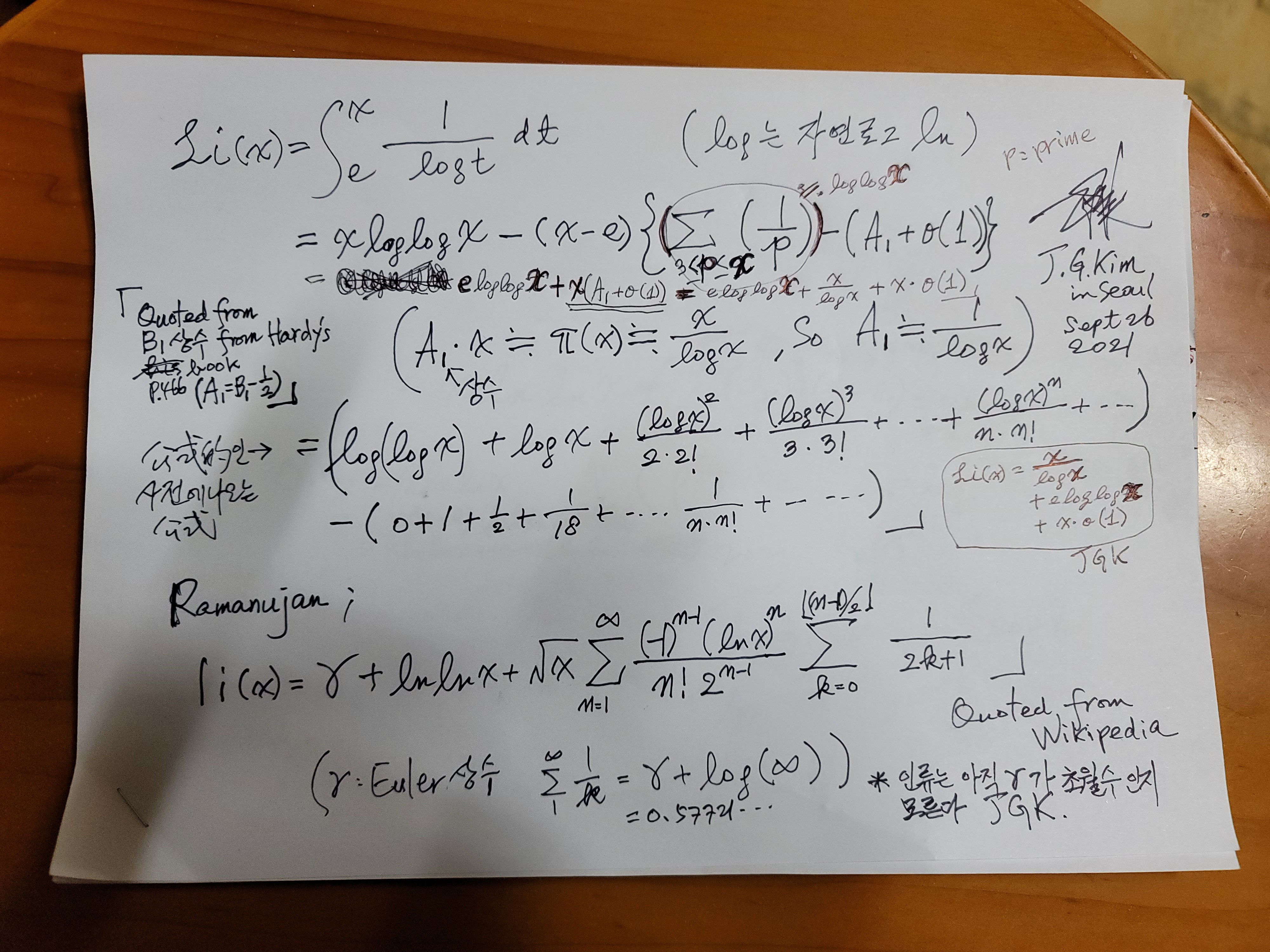
Quoted from "An introduction to the theory of numbers" written by G. H. Hardy and E. M. Wright. page 466.



윗사진 1)번의 t d ( d lnt ) 는 t d ( ln ln t ) 로 수정되야함. (2005년 당시 나의 실수). 나의 논문 RH-1 pdf 에 실림.



















Quoted from page 406, Advanced Calculus written by Loomis and Sternberg. Addison Wesley 1968.









































아래는 내가 영문으로 번역해본 노자 도덕경 1장이다 :
Once the way was told, the way is not the Way :
Once named, the name is not the Name.
State of no name, it's the beginning of Universe :
Once named, it's the mother of Everything.
Therefore, with empty humble mind you shall see the Wonders,
With greedy wanton mind you will see the Boundaries.
Both of these, however, are the same.
Emerged from different names.
We call this the Deep.
Deeper and deeper, that's the way to the door of Wonders.
Lao-Tzu (B.C.600, China).











